Pauta combustíveis > a partir de 16 de setembro de 2021
| Fonte: ImprensaNacional.com
|
DIÁRIO OFICIAL DA UNIÃO
Publicado em: 10/09/2021 | Edição: 172 | Seção: 1 | Página: 62
Órgão: Ministério da Economia/Secretaria Especial do Tesouro e Orçamento/Conselho Nacional de Política Fazendária
ATO COTEPE/PMPF Nº 32, DE 9 DE SETEMBRO DE 2021
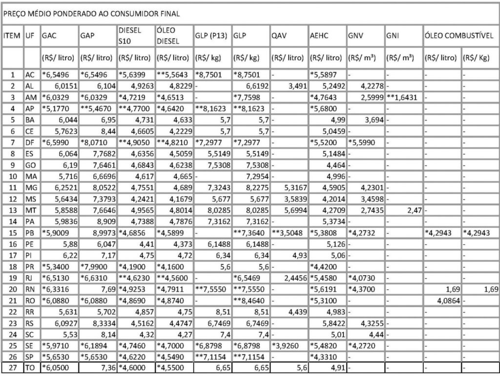
Preço médio ponderado ao consumidor final (PMPF) de combustíveis.
O Diretor da Secretaria-Executiva do Conselho Nacional de Política Fazendária – CONFAZ, no uso das atribuições que lhe são conferidas pelo inciso IX, do art. 5º do Regimento do CONFAZ;
CONSIDERANDO o disposto na cláusula décima do Convênio ICMS nº 110, de 28 de setembro de 2007; e
CONSIDERANDO as informações recebidas das unidades federadas, constantes no processo SEI nº 12004.100774/2021-11, TORNA PÚBLICO que os Estados e o Distrito Federal adotarão, a partir de 16 de setembro de 2021, o seguinte preço médio ponderado ao consumidor final (PMPF) para os combustíveis referidos no convênio supra:

Notas Explicativas:
a) * valores alterados de PMPF; e
b) ** valores alterados de PMPF que apresentam redução.
CARLOS HENRIQUE DE AZEVEDO OLIVEIRA